PRODUCT


銷售一部:0531-88760590
銷售二部:0531-88786527
寧經理:18853131830, 15553139909
王經理:18615581926
工廠地址: 濟南高新區孫村鎮大正路與世紀大道交叉口東50米
銷售地址:山東省濟南市高新區聯合財富廣場1號樓907

產品類別:聚羧酸(鹽)系列
發布日期:2021-04-07 16:44:24
責任編輯:魯東環保
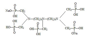
別名:二己烯三胺五亞甲基膦酸鈉
CAS No. 35657-77-3
分子式 C17H42O15N3P5Na2
相對分子質量:約731
結構式

BHMTPH·PN(Na2)是高效的螯合型阻垢劑,對碳酸鹽垢和硫酸鹽垢具有良好的阻垢效果。在較寬的pH范圍和120℃高溫下有較好的水溶性和熱穩定性,對鈣離子容忍度高。BHMTPH·PN(Na2)是油田水處理中的緩蝕阻垢劑,工業循環冷卻水和鍋爐水的阻垢緩蝕劑。
項 目 | 指 標 |
外 觀 | 深棕色液體 |
活性組分(以BHMTPMPA計) /% | 35.0~39.0 |
pH值(1%水溶液) | 2.5~4.5 |
密度(20℃)/g·cm-3 | 1.21~1.31 |
Fe含量(以Fe計) /mg·L-1 | ≤65.0 |
單獨使用或與聚羧酸型阻垢分散劑配合使用。
BHMTPH·PN(Na2)用塑料桶包裝,每桶25Kg或根據用戶需要確定。貯于室內陰涼處,貯存期為十個月。
BHMTPH·PN(Na2)為弱酸性,操作時注意勞動保護,應避免與皮膚、眼睛等接觸,接觸后用大量清水沖洗。